1引言
帶阻濾波器常用于射頻/微波系統中濾除不需要的信號或者抑制寄生響應,抑制不同通信系統之間的干擾,可以解決相近的本地收發天線之間的共址干擾問題。
懸置帶線是一種優越的電磁波傳輸系統,其用途廣泛,可以用來實現各種類型的濾波器,不僅可用于傳輸線諧振器型濾波器,也可用于半集總濾波器的設計。一般來說,在平面傳輸線中金屬損耗占據主導地位,相對于微帶線和共面線,懸置帶線的橫截面較大,這有效降低了金屬層的電流密度以及介質中的電場強度,從而能有效減小損耗,同時,屏蔽效應使其不會產生輻射,延伸至空氣中的電磁場成分增加,降低色散效應對濾波器性能的影響。
在帶阻濾波器的設計中,阻帶抑制特性及通帶到阻帶的過渡特性是設計兩個重要方面。帶阻濾波器的設計常見于窄帶或者寬帶的設計,其結構形式多種多樣,采用平面傳輸結構形式具有低成本,易于加工的優點,大量的相關設計的文章發表于各種期刊雜志,但是,關于中等阻帶寬度的帶阻濾波器設計的文獻較為少見,本文設計了一種X波段帶阻濾波器,采用“支線式”結構,AnsoftHFSS軟件仿真,實現通帶2~18GHz,具有15%的阻帶帶寬,陡峭的過渡帶。
2帶阻濾波器設計的基本原理
首先,介紹幾種平面帶阻濾波器的結構形式,如圖1所示,這三種濾波器結構是1/4波長短截線微波帶阻濾波器的常見類型,“平行耦合式”結構(圖1(a)所示)適用于窄帶帶阻濾波器,“并聯基型”(圖1(b)所示)適用于寬帶帶阻濾波器,而“支線式”結構(圖1(c)所示)適用于中等帶寬帶阻濾波器的設計。
本文設計一種中等阻帶寬度的帶阻濾波器,采用圖1(b)所示的支線式電路結構,其等效于圖2(a)所示的1/4波長短截線帶阻濾波器基型電路,這種基型帶阻濾波器的準確設計公式[5],可以應用頻率變換和黑田變換,直接從集總原件LC梯形低通原型推導出來,具體步驟是:①確定低通原型;②將各元件乘以帶寬因子;③加入單位元件,應用黑田變換;④確定電路結構。


圖1帶阻濾波器的幾種結構形式
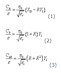
支線式結構于平行耦合式結構是等效的,它們均等效于圖2b)所示的結構形式,同時等效于圖2a)所示的1/4波長短截線帶阻濾波器并聯基型,這兩種濾波器的單節與基型單節的參數間的關系為:

其中,

實現條件為:
(4)式中,Y1為并聯短截線的特性導納,Y12為聯接線的特性導納,Ca、Cb為桿對地單位長自電容,為桿間單位長互電容,η0為自由空間波阻抗,εr為相對介電常數。


圖2支線式帶阻濾波器的等效
3X波段帶阻濾波器設計
本文所設計的帶阻濾波器的技術指標如下:
中心頻率:f0=11.8GHz
阻帶:10.9GHz-12.7GHz(相對帶寬15%)
阻帶內衰減:L≥45dB
通帶插損:IL≤2.0dB@2-10.1GHz13.5-18GHz
根據前面的分析,采用支線式結構設計濾波器能夠滿足15%阻帶帶寬的要求,根據阻帶衰減要求,取n=10,采用RT/durold®6002陶瓷板作為基板,相對于微帶線來說,懸置帶線能夠減小損耗,能夠獲得更加優越的過渡帶特性。在ADS中建立原理圖,給出各短截線及主線的初值并優化,從而得到帶阻濾波器的各結構參數的較準確的值,在此基礎之上,采用Ansoft公司的三維電磁場仿真軟件HFSS建立三維模型,進行參數掃描或者優化,確定參數的精確值,得到滿足指標要求的仿真曲線,如圖3所示,阻帶衰減大于45dB的范圍約為16%,通帶插損不大于2.0dB,滿足設計指標的要求。這樣,既利用了原理圖設計的簡單性及快速性,又利用了三維電磁場仿真的準確性,從而可以快速而準確的設計出所需要的濾波器電路。


圖3帶阻濾波器仿真曲線
根據仿真得到的結構參數的準確值,進行了加工與測量,其實物照片如圖4所示。


圖4帶阻濾波器實物圖
采用安捷倫公司的E8363B矢網測試,測量結果如圖5所示。測量結果顯示:阻帶衰減在10.9GHz-12.7GHz范圍內大于48dB,其邊帶特性較仿真有一定的惡化,在調試過程中發現:無論調節那個一諧振,其第二個通帶(13.5-18GHz)的駐波變化很小,基本上沒有改善,而第一個通帶(2-10.1GHz)的駐波均可以通過調試使其小于2,可調性很高。分析出現以上情況的原因,一是軟件求解存在的仿真誤差,二是加工誤差的引入,三是部分結構參數不可調,只能調節各個諧振支線的電長度,其耦合不可調,導致第二通帶駐波有一定的惡化。可以通過進一步的優化仿真,提高加工精度,適當減小諧振短截線的長度,改善高端的駐波比,通過調諧釘補償諧振器的電長度,以達到改善濾波器性能的目標。


圖5帶阻濾波器測量曲線
4結論
本文采用支線式結構設計了一種中等阻帶帶寬的帶阻濾波器,使用懸置帶線結構獲得較高的Q值,陡峭的邊帶過渡特性,該濾波器還具有低成本、易于加工的優點,滿足工程應用的需要。
烜芯微專業制造二極管,三極管,MOS管,橋堆等20年,工廠直銷省20%,4000家電路電器生產企業選用,專業的工程師幫您穩定好每一批產品,如果您有遇到什么需要幫助解決的,可以點擊右邊的工程師,或者點擊銷售經理給您精準的報價以及產品介紹
烜芯微專業制造二極管,三極管,MOS管,橋堆等20年,工廠直銷省20%,4000家電路電器生產企業選用,專業的工程師幫您穩定好每一批產品,如果您有遇到什么需要幫助解決的,可以點擊右邊的工程師,或者點擊銷售經理給您精準的報價以及產品介紹

