1.固定偏直電路
固定偏置電路如圖15-11 所示,它是共發射極放大電路。當EC和RB一經確定,就能得到一個固定的基極電流lB和集電極電流IC, 所以把這種電路叫做固定偏置電路。
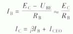
電路中的EC、IC、RC、β 和ICEO 等參數.一般都是預先根據需要而確定好的。計算基極電流(又稱偏置電流)IB 和基極電阻(偏流電阻)RB時,可利用以下公式:


從上式可以求出IC和RB的值。但在實際應用中,往往還要調整RB,以得到較精確的IC。調整方法是:選擇一個合適的電位器和電阻.串接后接在RB 的位置,斷開RC和EC 的連接.串入一個電流在、調節電位器的阻值.使電流表指示達到預定的IC值。
由于半導體三極管的特性受植度的影響較大.當溫度變化升高時,三極管的穿透電流lCEP顯著增加,而IC又與ICEO 有關,所以IC也隨之增加.從而會引起工作點的變動可以看出,固定偏置電路只是提供一個固定偏流lB的電路,它無法起到穩定工作點的作用。它的優點是電路結構簡單,使用的元件少.可以用在不要求有穩定的靜態工作點的電路中。


2. 電壓負反饋偏直電路
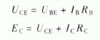
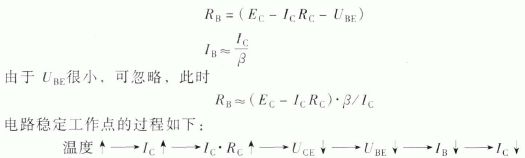
電壓負反饋偏置電路如圖15-12 所示。它和固定偏置電路的不同之處,是將偏流電阻RB接在了三極管集電極上。此時電路中各參數有以下的關系:




從上面過程可以看出,隨溫度的升高, IC的變化被拉了回來.達到了穩定靜態工作點的作用。
要想這種電路效果好,就要使RC足夠大,這樣才能引起UCE 的足夠變化,加深電壓負反饋的作用。所以這種電路不適用于用變壓器作負載的電路。偏流電阻RB一般取值為(2~10)RC。
3. 電流負反饋偏直電路
電流負反饋偏置電路如圖15-13 所示。它和固定偏置電路的不同之處是.在半導三極管的發射極上串接了一個電阻RE 。此時電路各參數有以下的關系:


由于EC電源相對不變,若IERE 增加,必然引起UBE下降,從而造成IB的下降。電路穩定靜態工作點的過程可以寫成以下形式:


4. 分壓式電流負反饋偏直電路
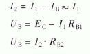
這是一種常用的偏置電路,它的典型電路如圖15-14 所示。在這個電路中,除三極管發射極上接有RE外,同時在基極上還接有RB1和RB2 , 它們分別接在電源EC的兩端。


分壓式電流負反饋偏置電路有兩種穩定作用:
①通過基極電阻RB1和RB2 的分壓,以下關系成立:




上式說明基極電壓UB只受EC·RB1和RB2 的影響,只要這三個參數確定,則UB 就可保持穩定。
①接入RE電路有電流負反饋的溫度補償作用
由于有以上兩個穩定作用,所以分壓式電流負反饋偏置電路的穩定作用較好。除此之外,這種電路還有一個優點,就是RC取值小些,也不影響穩定性,因此適用于各種負載的放大電路。
對于低頻小信號放大電路來說,應用電路中的元件取值可參考以下原則:

烜芯微專業制造二極管,三極管,MOS管,橋堆等,20年,工廠直銷省20%,1500家電路電器生產企業選用,專業的工程師幫您穩定好每一批產品,如果您有遇到什么需要幫助解決的,可以直接聯系上方的聯系號碼或加QQ,由我們的銷售經理給您精準的報價以及產品介紹

烜芯微專業制造二極管,三極管,MOS管,橋堆等,20年,工廠直銷省20%,1500家電路電器生產企業選用,專業的工程師幫您穩定好每一批產品,如果您有遇到什么需要幫助解決的,可以直接聯系上方的聯系號碼或加QQ,由我們的銷售經理給您精準的報價以及產品介紹

