共源共柵結構(cascode structure, CSCG)具有很多特點,在CMOS電路中很常見,以NMOS為例,如圖1.1(a)所示。

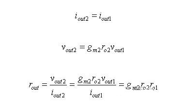
共源共柵結構最大的特點就是輸出阻抗大。 共源管下標為1,共柵管下標為2,單個共源管的輸出阻抗為ro1,而共源共柵結構的輸出阻抗近似為gm2ro1ro2。
怎么理解共源共柵結構的輸出阻抗比單個共源管放大了gm2ro2倍?
在圖1.1(c)中,單個共柵管的增益求解如下:

在圖1.1(b)中,輸出阻抗求解過程如下:

由于共源共柵結構的輸出阻抗大這個特點,比單個共源管放大了gm2ro2倍,在高增益的運放中,共源共柵結構經常作為輸入管和輸出負載管以提高電壓增益。
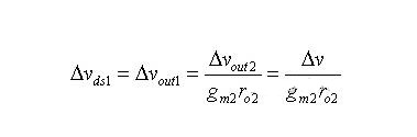
共源共柵管的另一個特點是共源管的源漏電壓vds1對輸出電壓不敏感,當輸出電壓變化Δv時,Δvds1可表示為:

因此,即便共源共柵結構的輸出負載變化很大,只要保證共柵管仍工作在飽和區且有比較大的電壓增益,共源管的源漏電壓vds1的變化也很小。這一特點使得共源共柵結構經常被應用在電流鏡中。
折疊共源共柵結構
在共源共柵結構,共源管將輸入電壓轉換成電流,該電流作為共柵管的輸入。同類型的晶體管的共源共柵結構串接即可。不同類型管需要外加偏置電流折疊形成,因此折疊共源共柵一定是PN成對地用。
如果想把圖1.1(a)所示的共源共柵結構改成折疊結構,則應把輸入管由NMOS管改成PMOS管,同時增加尾電流源,如圖1.2(a)所示。
尾電流源通過MOS實現,一般的PMOS管作為輸入的折疊共源共柵結構如圖1.2(b)所示,其中尾電流ib=i1+i2。

隨著電源電壓越來越低,在運放中,更經常使用折疊共源共柵結構作為輸入管。折疊共源共柵結構的優缺點:輸出擺幅大些,輸入輸出可以短接,較大的功耗,較低的增益,較低的極點頻率,較高的噪聲。
〈烜芯微/XXW〉專業制造二極管,三極管,MOS管,橋堆等,20年,工廠直銷省20%,上萬家電路電器生產企業選用,專業的工程師幫您穩定好每一批產品,如果您有遇到什么需要幫助解決的,可以直接聯系下方的聯系號碼或加QQ/微信,由我們的銷售經理給您精準的報價以及產品介紹
聯系號碼:18923864027(同微信)
QQ:709211280

