MOS管小信號模型
小信號是指對偏置的影響非常小的信號,物理上就是MOS管的線性模型。
數學上,MOS小信號模型實際就是一個泰勒展開的過程,找到一個偏置點對電壓電流關系求導數,把高階部分去掉,留下線性部分。
當在加一個小正弦信號

瞬態響應為:

信號傳遞過程為:

小信號等效模型
在飽和區時MOS管的漏極電流是柵源電壓的函數,即為一個壓控電流源,電流值為,且由于柵源之間的低頻阻抗很高,因此可得到一個理想的MOS管的小信號模型,如圖所示。[對于小信號來說,不會變化的電壓相當于地,即上端接地]

實際的模擬集成電路中MOS管存在著二階效應,而由于溝道調制效應等效于漏源之間的電阻;而襯底偏置效應則體現為背柵效應,即可用漏源之間的等效壓控電流源表示,因此MOS管在飽和時的小信號等效模型。

其中
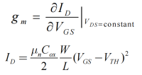
1)gm
gm柵跨導為柵電壓對漏電流的控制能力

gm的三種表達式:
其中W/L、ID、VGS-VTH三者只有兩個獨立元素,可由任意兩個元素求出第三個元素

2)gmb
gmb:體現襯偏效應對漏電流的控制作用

γ為體效應系數。在器件模型中,表面勢F=2FF和γ均由工廠提供。0.5um工藝中:對NMOS γ=0.4V1/2;對PMOS γ=-0.4V1/2

3)VBS
VBS為負電壓,相當于界面與襯底之間加了一反向電壓,這使耗盡區變厚,同時也使源/漏區與襯底的PN結的空間電荷區均變寬,因為這兩個結的反向偏置電壓值為VBS。
在這種條件下,要吸引源、漏區的電子來產生導電層就必須在柵極加更高的正電壓,即VTH變大了。該效應也稱為“襯偏效應”或 “背柵效應”。
4)ro
MOS管輸出電阻ro的改變可以通過改變偏置電流(ID),或者改變W/L的方法實現。

〈烜芯微/XXW〉專業制造二極管,三極管,MOS管,橋堆等,20年,工廠直銷省20%,上萬家電路電器生產企業選用,專業的工程師幫您穩定好每一批產品,如果您有遇到什么需要幫助解決的,可以直接聯系下方的聯系號碼或加QQ/微信,由我們的銷售經理給您精準的報價以及產品介紹
聯系號碼:18923864027(同微信)
QQ:709211280

