MOS 管計算導通損耗時,應該用平均電流IAVG還是用電流有效IRMS值呢?


先定義下相關參數,以便于后續(xù)的計算.
IO -------------輸出電流
IH-AVG-----------上MOS 管平均電流
IL-AVG ---------下MOS 管平均電流
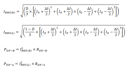
IRMS(H) --------上MOS 管電流有效值
IRMS(L) -----------下MOS 管電流有效值
D ------------------上MOS 管占空比
ΔI --------------電感紋波電流
RON-H ---------上MOS 管導通電阻
RON-L ---------下MOS 管導通電阻
PON-H ---------上MOS 管導通損耗
PON-L ---------下MOS 管導通損耗
計算方法1: 基于平均電流


計算方法2: 基于電流有效值


下面是關于有效值和平均值的對比數據,可以直觀的看出有效值比平均值大出很多.
所以兩種方法計算出來的導通損耗也會差別很大,那么哪種方式是正確的呢?




MOS 管導通時,等效為一個電阻RDS(ON), 計算損耗時是通過積分來計算的,應該用有效值來計算。




由此可見,I 為有效值的計算公式, 所以計算時應用電流有效值來計算MOS管的導通損耗.
那么什么時候可以用平均電流來計算損耗呢?
其實輸出整流二極管,MOS體二極管的導通損耗,則是用均值來計算的.
〈烜芯微/XXW〉專業(yè)制造二極管,三極管,MOS管,橋堆等,20年,工廠直銷省20%,上萬家電路電器生產企業(yè)選用,專業(yè)的工程師幫您穩(wěn)定好每一批產品,如果您有遇到什么需要幫助解決的,可以直接聯(lián)系下方的聯(lián)系號碼或加QQ/微信,由我們的銷售經理給您精準的報價以及產品介紹
聯(lián)系號碼:18923864027(同微信)
QQ:709211280

